Below you see the updated overviews from the notifications/registration system “EudraVigilance” of the European Medicines Agency EMA. Because the registered figures according to scientific research, show only 6% of reality due to severe underreporting, only the actual figures are summarized below.
These are the figures for just the 27 European member states:
Severe Adverse Effects : 2.563.768 (94% underreporting)
In reality : 42.729.467
Deaths : 27.242 (94% underreporting)
In reality :454.033
Total serious adverse event data from all four manufacturers:

Total deaths data aggregation from all four manufacturers:

AstraZeneca : deaths and serious side effects

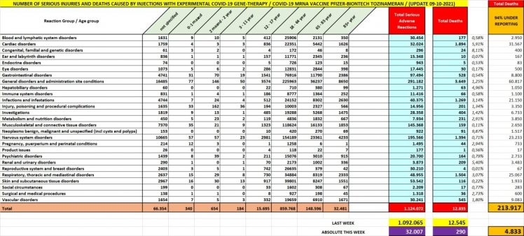
Pfizer : deaths and serious side effects

Moderna : deaths and serious side effects

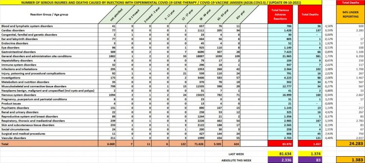
Johnson : deaths and serious side effects

Global Figures
Please realize this. We are only talking here about the figures of the 27 European member states.
Sources:
